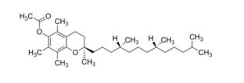
52225-20-4/V-033-1ML Tocopheryl acetate (Vitamin E acetate)/ 醋酸生育酚标准溶液/维生素E醋酸酯标准溶液
1.0 mg/mL in Methanol | Certified Reference Material/V-033-1ML
This internal standard is suitable for HPLC or LC-MS/MS Vitamin E testing applications such as quality control testing of Vitamin E fortified foods, dietary supplements, or pharmaceuticals. Tocopheryl acetate is a natural form of Vitamin E used as a fortifying agent and dietary supplement for Vitamin E in food.Tocopheryl acetate (Vitamin E acetate)
该内标适用于HPLC或LC-MS/MS维生素E测试应用,如维生素E强化食品、膳食补充剂或药品的质量控制测试。醋酸生育酚是维生素E的天然形式,用作食品中维生素E的强化剂和膳食补充剂。/ 醋酸生育酚标准溶液/维生素E醋酸酯标准溶液

Concentration: 1.0 mg/mL 10微克/毫升
Solvent: Methanol 甲醇
Unit Size: 1 mL/ampoule 1毫升/安瓿
CAS Number: 52225-20-4
Chemical Formula: C31H52O3
Molecular Weight: 472.74
部分相关产品如下,更多相关产品的详细信息,请来电咨询,供实验室使用!
RelatedProducts
V-010 / V-010-1ML (±)-α-Tocopherol-D6 (Vitamin E-D6), 500 µg/mL
V-020 / V-020-1ML (±)-α-Tocopherol (Vitamin E), 1.0 mg/mL
V-021 / V-021-1ML (+)-γ-Tocopherol (Vitamin E), 1.0 mg/mL
V-030 / V-030-1ML Vitamin K1, 10 µg/mL
V-031 / V-031-1ML Vitamin K2 (MK-4), 100 µg/mL
V-044 / V-044-1ML Vitamin K2 (MK-7) , 100 μg/mL
