1216715-80-8/A-083-1ML Amiodarone-D4 HCl/盐酸碘胺酮D4标准溶液/碘胺酮D标记同位素内标
100 ug/mL (as free base) in Methanol | Certified Reference Material/A-083-1ML
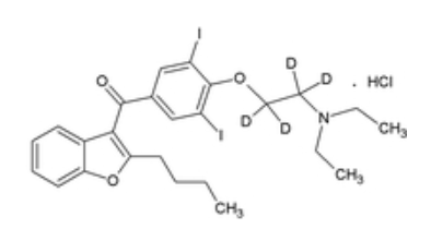
A Certified Spiking Solution® and stable-labeled internal standard for use in therapeutic drug monitoring analyses by LC/MS. Amiodarone, an antiarrhythmic agent marketed as Pacerone, Cordarone, Aratac, Atlansi, is monitored by clinical labs to ensure patients remain within the drug’s therapeutic range.Amiodarone-D4 HCl
一种经过认证的加标溶液®和稳定的标记内标,用于LC/MS的治疗药物监测分析。胺碘酮是一种抗心律失常药物,以Pacerone、Cordarone、Aratac、Atlansi等品牌销售,由临床实验室监测,以确保患者保持在药物的治疗范围内。/盐酸碘胺酮D4标准溶液/碘胺酮D标记同位素内标

Concentration: 100 ug/mL (as free base) 100 微克/毫升
Solvent: Methanol 甲醇
Unit Size: 1 mL/ampoule 1毫升/安瓿
CAS Number: 1216715-80-8
Chemical Formula: C25H25D4I2NO3 · HCl
Molecular Weight: 685.8
部分相关产品如下,更多相关产品的详细信息,请来电咨询,供实验室使用!
RelatedProducts
A-060 / A-060-1ML Amiodarone HCl, 1.0 mg/mL (as free base)
D-055 / D-055-1ML N-Desethylamiodarone HCl, 1.0 mg/mL (as free base)
D-056 / D-056-1ML N-Desethylamiodarone-D4 HCl, 100 μg/mL (as free base)
